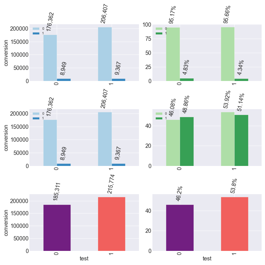
An e-commerce website is testing A/B test such that if Spanish translation is done by each country’s local person instead of only one Spanish person, then the sales may increase. There is data of 5 days and we have to determine the success or failure of the test.
